Официальное опубликование правовых актов
ОФИЦИАЛЬНОЕ ОПУБЛИКОВАНИЕ
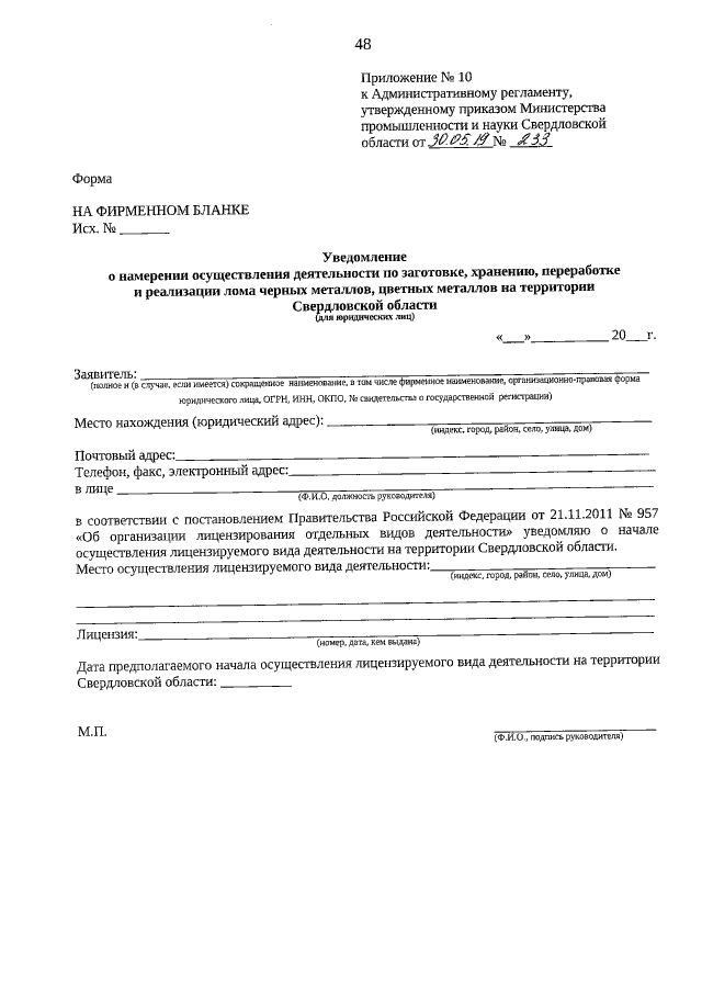
Приказ Министерства промышленности и науки Свердловской области от 30.05.2019 № 233
"Об утверждении Административного регламента предоставления Министерством промышленности и науки Свердловской области государственной услуги "Лицензирование заготовки, хранения, переработки и реализации лома черных металлов, цветных металлов на территории Свердловской области"
Номер опубликования: 6601201906060019
Дата опубликования: 06.06.2019
Страница №48 из 52:
Увеличить