Официальное опубликование правовых актов
ОФИЦИАЛЬНОЕ ОПУБЛИКОВАНИЕ
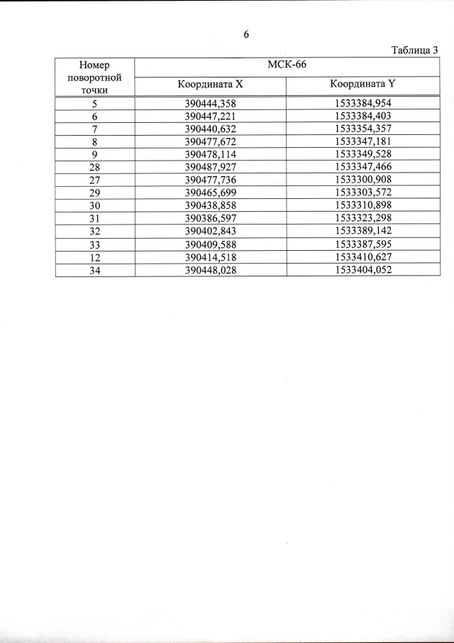
Приказ Управления государственной охраны объектов культурного наследия Свердловской области от 22.02.2019 № 48
"Об установлении зон охраны объектов культурного наследия регионального значения, расположенных в г. Екатеринбурге, и утверждении требований к градостроительным регламентам в границах данных зон"
Номер опубликования: 6601201902250009
Дата опубликования: 25.02.2019
Страница №6 из 33:
Увеличить