Официальное опубликование правовых актов
ОФИЦИАЛЬНОЕ ОПУБЛИКОВАНИЕ
Приказ Министерства строительства и развития инфраструктуры Свердловской области от 27.12.2018 № 747-П
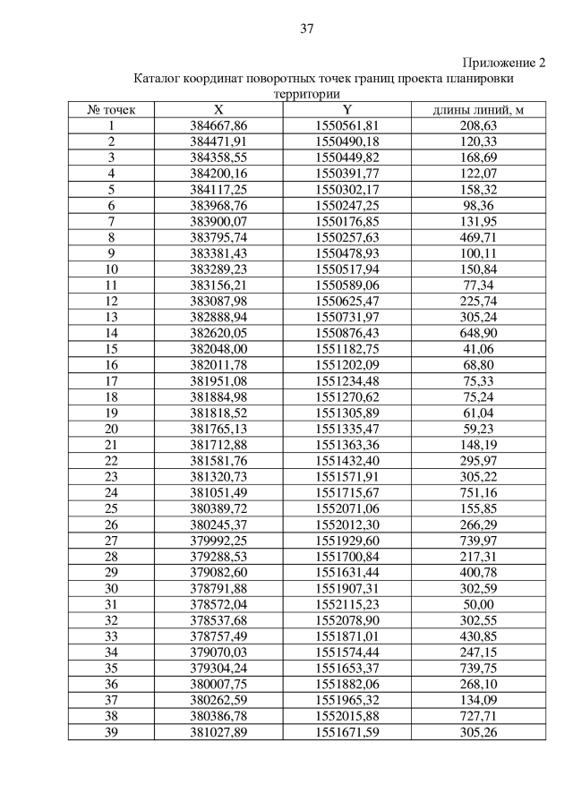
"Об утверждении основной части проекта планировки территории для размещения линейного объекта электросетевого хозяйства "Реконструкция ВЛ 35 кВ Шпагатная-Нива с переводом на напряжение 110 кВ" и проекта межевания территории для размещения линейного объекта электросетевого хозяйства "Реконструкция ВЛ 35 кВ Шпагатная-Нива с переводом на напряжение 110 кВ"
Номер опубликования: 6601201812280002
Дата опубликования: 28.12.2018
Страница №37 из 112:
Увеличить