Официальное опубликование правовых актов
ОФИЦИАЛЬНОЕ ОПУБЛИКОВАНИЕ
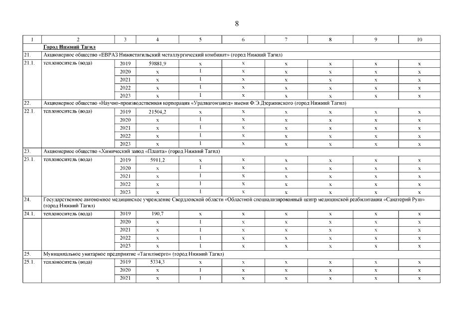
Постановление Региональной энергетической комиссии Свердловской области от 11.12.2018 № 283-ПК
"Об установлении теплоснабжающим организациям Свердловской области долгосрочных параметров регулирования, устанавливаемых на долгосрочный период регулирования для формирования тарифов на теплоноситель с использованием метода индексации установленных тарифов, на 2019-2023 годы"
Номер опубликования: 6601201812190026
Дата опубликования: 19.12.2018
Страница №8 из 31:
Увеличить