Официальное опубликование правовых актов
ОФИЦИАЛЬНОЕ ОПУБЛИКОВАНИЕ
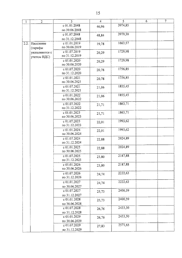
Постановление Региональной энергетической комиссии Свердловской области от 11.12.2018 № 287-ПК
"Об утверждении долгосрочных параметров регулирования тарифов на услуги холодного водоснабжения и (или) горячего водоснабжения и (или) водоотведения, определяемые на долгосрочный период регулирования при установлении тарифов с использованием метода индексации, и тарифов на услуги холодного водоснабжения и (или) водоотведения на основе долгосрочных параметров организациям водопроводно-канализационного хозяйства Свердловской области"
Номер опубликования: 6601201812170025
Дата опубликования: 17.12.2018
Страница №15 из 17:
Увеличить