Официальное опубликование правовых актов
ОФИЦИАЛЬНОЕ ОПУБЛИКОВАНИЕ
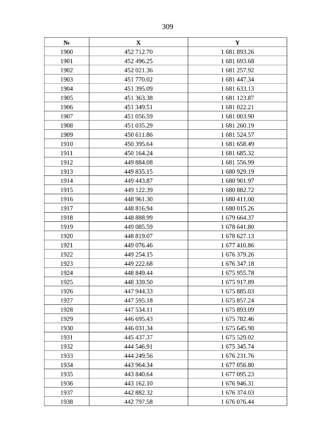
Закон Свердловской области от 19.11.2025 № 76-ОЗ
"О внесении изменений в отдельные законы Свердловской области"
Номер опубликования: 6600202511240001
Дата опубликования: 24.11.2025
Страница №309 из 763:
Увеличить