Официальное опубликование правовых актов
ОФИЦИАЛЬНОЕ ОПУБЛИКОВАНИЕ
Постановление Правительства Свердловской области от 20.02.2025 № 101-ПП
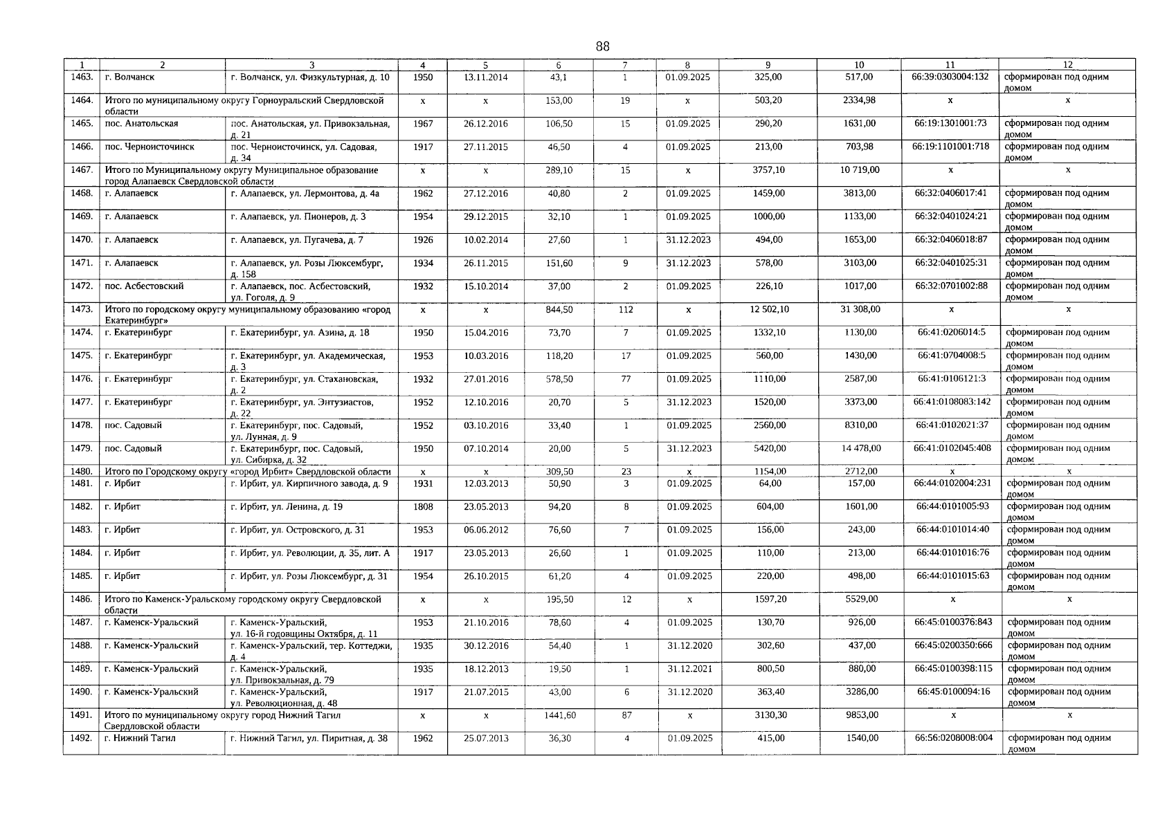
"О внесении изменений в региональную адресную программу "Переселение граждан на территории Свердловской области из аварийного жилищного фонда в 2019–2025 годах", утвержденную постановлением Правительства Свердловской области от 01.04.2019 № 208-ПП"
Номер опубликования: 6600202502240010
Дата опубликования: 24.02.2025
Страница №88 из 131:
Увеличить