Официальное опубликование правовых актов
ОФИЦИАЛЬНОЕ ОПУБЛИКОВАНИЕ
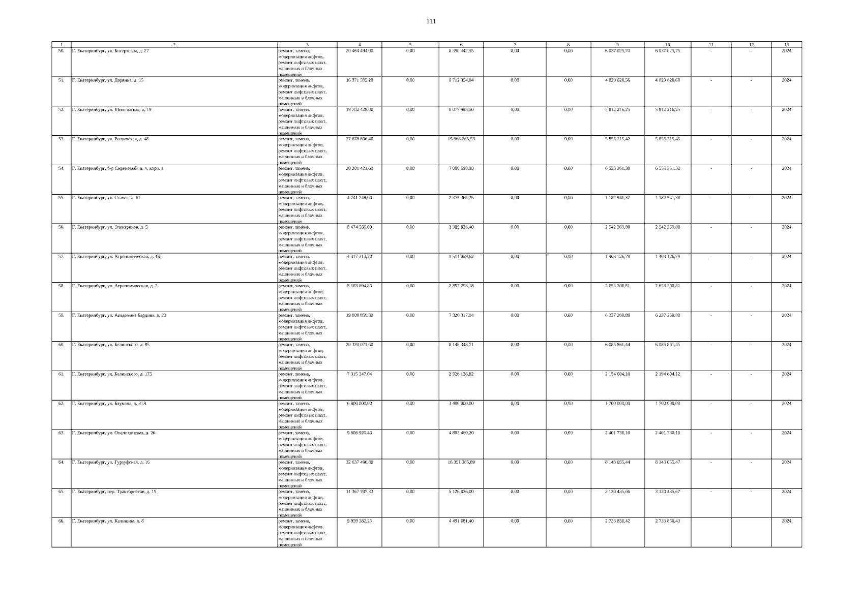
Постановление Правительства Свердловской области от 26.12.2024 № 947-ПП
"О внесении изменений в Краткосрочный план реализации Региональной программы капитального ремонта общего имущества в многоквартирных домах Свердловской области на 2024–2026 годы на территории Свердловской области, утвержденный постановлением Правительства Свердловской области от 10.08.2023 № 576-ПП"
Номер опубликования: 6600202412270038
Дата опубликования: 27.12.2024
Страница №111 из 116:
Увеличить