Официальное опубликование правовых актов
ОФИЦИАЛЬНОЕ ОПУБЛИКОВАНИЕ
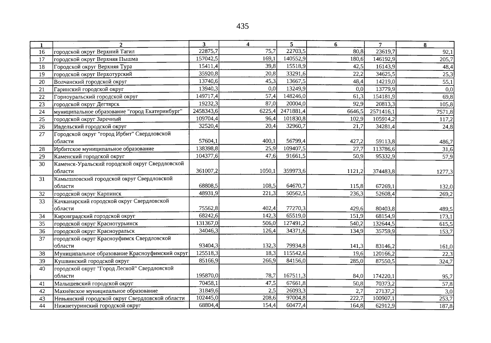
Закон Свердловской области от 04.12.2024 № 130-ОЗ
"О внесении изменений в Закон Свердловской области "Об областном бюджете на 2024 год и плановый период 2025 и 2026 годов"
Номер опубликования: 6600202412090007
Дата опубликования: 09.12.2024
Страница №435 из 448:
Увеличить