Официальное опубликование правовых актов
ОФИЦИАЛЬНОЕ ОПУБЛИКОВАНИЕ
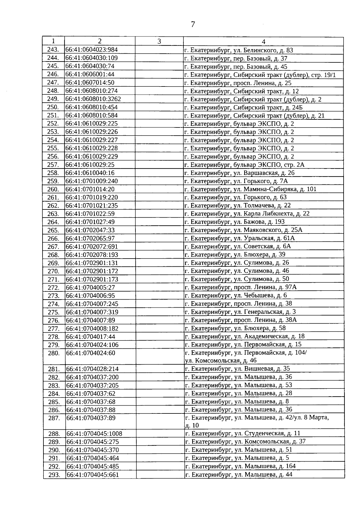
Постановление Правительства Свердловской области от 21.11.2024 № 826-ПП
"Об определении перечня объектов недвижимого имущества, в отношении которых налоговая база по налогу на имущество организаций определяется как кадастровая стоимость, на 2025 год"
Номер опубликования: 6600202411220002
Дата опубликования: 22.11.2024
Страница №7 из 9:
Увеличить