Официальное опубликование правовых актов
ОФИЦИАЛЬНОЕ ОПУБЛИКОВАНИЕ
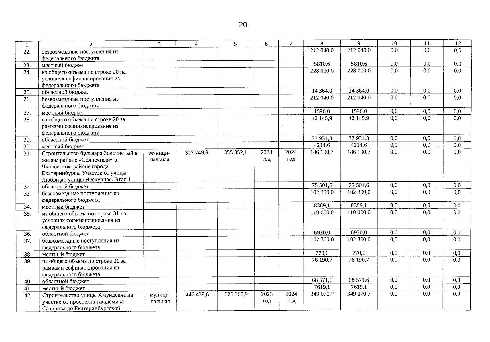
Постановление Правительства Свердловской области от 15.02.2024 № 81-ПП
"О внесении изменений в государственную программу Свердловской области "Реализация основных направлений государственной политики в строительном комплексе Свердловской области", утвержденную постановлением Правительства Свердловской области от 24.10.2013 № 1296-ПП"
Номер опубликования: 6600202402190007
Дата опубликования: 19.02.2024
Страница №20 из 40:
Увеличить