Официальное опубликование правовых актов
ОФИЦИАЛЬНОЕ ОПУБЛИКОВАНИЕ
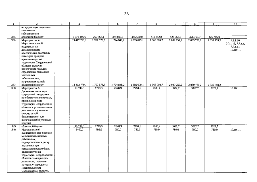
Постановление Правительства Свердловской области от 11.05.2023 № 303-ПП
"О внесении изменений в государственную программу Свердловской области "Развитие здравоохранения Свердловской области до 2027 года", утвержденную постановлением Правительства Свердловской области от 21.10.2013 № 1267-ПП"
Номер опубликования: 6600202305120005
Дата опубликования: 12.05.2023
Страница №56 из 74:
Увеличить