Официальное опубликование правовых актов
ОФИЦИАЛЬНОЕ ОПУБЛИКОВАНИЕ
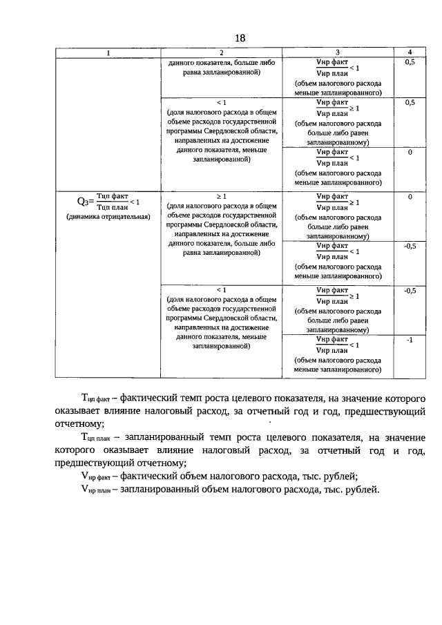
Постановление Правительства Свердловской области от 04.02.2021 № 24-ПП
"Об утверждении Порядка формирования перечня налоговых расходов Свердловской области и оценки налоговых расходов Свердловской области"
Номер опубликования: 6600202102080007
Дата опубликования: 08.02.2021
Страница №18 из 29:
Увеличить