Официальное опубликование правовых актов
ОФИЦИАЛЬНОЕ ОПУБЛИКОВАНИЕ
Постановление Правительства Свердловской области от 03.09.2020 № 607-ПП
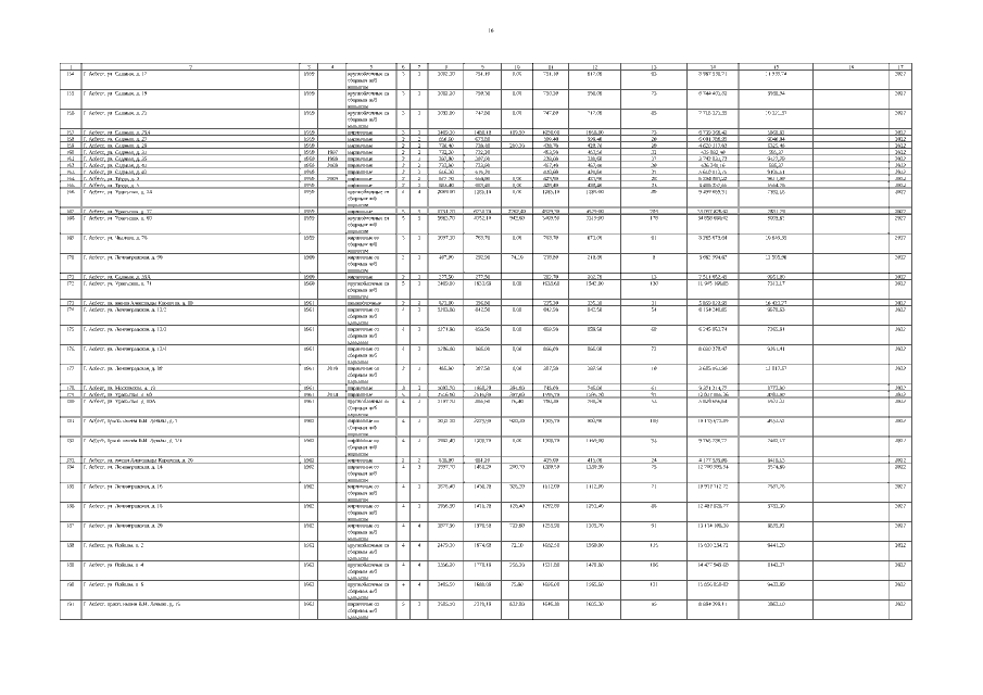
"Об утверждении Краткосрочного плана реализации Региональной программы капитального ремонта общего имущества в многоквартирных домах Свердловской области на 2021–2023 годы на территории Свердловской области"
Номер опубликования: 6600202009080009
Дата опубликования: 08.09.2020
Страница №10 из 111:
Увеличить