Официальное опубликование правовых актов
ОФИЦИАЛЬНОЕ ОПУБЛИКОВАНИЕ
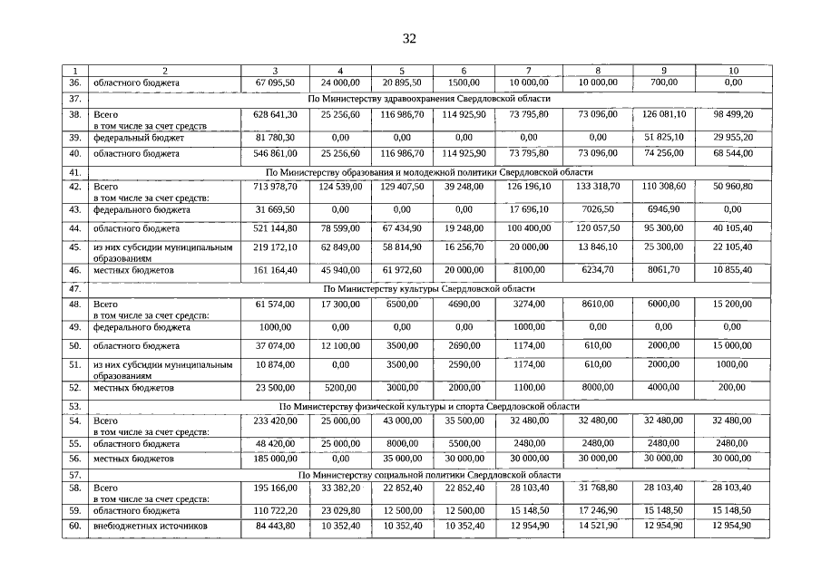
Постановление Правительства Свердловской области от 01.08.2019 № 475-ПП
"О внесении изменений в комплексную программу Свердловской области "Развитие агропромышленного комплекса и сельских населенных пунктов Свердловской области ("Уральская деревня") до 2020 года", утвержденную постановлением Правительства Свердловской области от 03.06.2014 № 471-ПП"
Номер опубликования: 6600201908080027
Дата опубликования: 08.08.2019
Страница №32 из 33:
Увеличить