Постановление Правительства Свердловской области от 30.05.2019 № 321-ПП
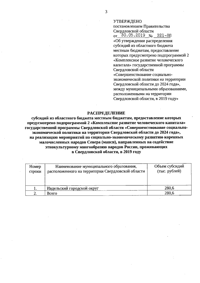
"Об утверждении распределения субсидий из областного бюджета местным бюджетам, предоставление которых предусмотрено подпрограммой 2 "Комплексное развитие человеческого капитала" государственной программы Свердловской области "Совершенствование социально-экономической политики на территории Свердловской области до 2024 года", между муниципальными образованиями, расположенными на территории Свердловской области, в 2019 году"
"Об утверждении распределения субсидий из областного бюджета местным бюджетам, предоставление которых предусмотрено подпрограммой 2 "Комплексное развитие человеческого капитала" государственной программы Свердловской области "Совершенствование социально-экономической политики на территории Свердловской области до 2024 года", между муниципальными образованиями, расположенными на территории Свердловской области, в 2019 году"
Номер опубликования: 6600201906060011
Дата опубликования:
06.06.2019
