Постановление Правительства Свердловской области от 12.04.2019 № 223-ПП
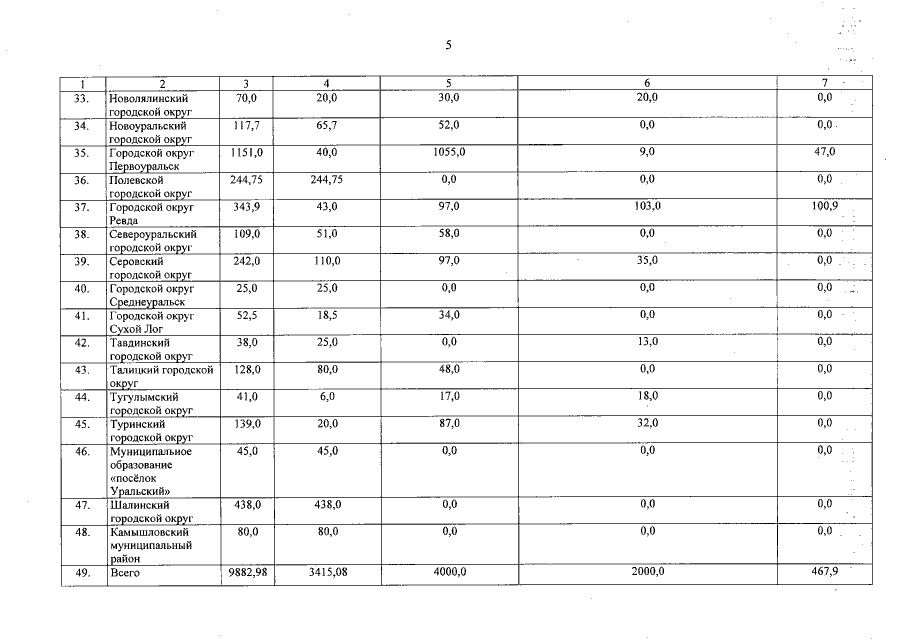
"О распределении субсидий из областного бюджета местным бюджетам, предоставление которых предусмотрено государственной программой Свердловской области "Реализация молодежной политики и патриотического воспитания граждан в Свердловской области до 2024 года", между муниципальными образованиями, расположенными на территории Свердловской области, на подготовку молодых граждан к военной службе в 2019 году"
"О распределении субсидий из областного бюджета местным бюджетам, предоставление которых предусмотрено государственной программой Свердловской области "Реализация молодежной политики и патриотического воспитания граждан в Свердловской области до 2024 года", между муниципальными образованиями, расположенными на территории Свердловской области, на подготовку молодых граждан к военной службе в 2019 году"
Номер опубликования: 6600201904170028
Дата опубликования:
17.04.2019
