Официальное опубликование правовых актов
ОФИЦИАЛЬНОЕ ОПУБЛИКОВАНИЕ
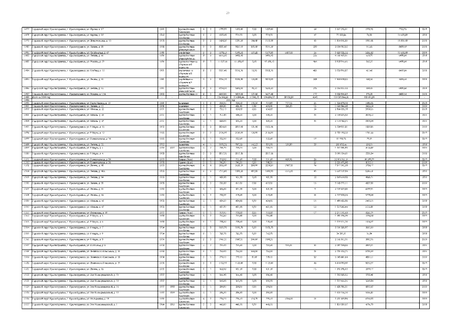
Постановление Правительства Свердловской области от 20.12.2018 № 925-ПП
"О внесении изменений в Краткосрочный план реализации Региональной программы капитального ремонта общего имущества в многоквартирных домах Свердловской области на 2018–2020 годы на территории Свердловской области, утвержденный постановлением Правительства Свердловской области от 31.08.2017 № 643-ПП"
Номер опубликования: 6600201812250012
Дата опубликования: 25.12.2018
Страница №23 из 119:
Увеличить