Официальное опубликование правовых актов
ОФИЦИАЛЬНОЕ ОПУБЛИКОВАНИЕ
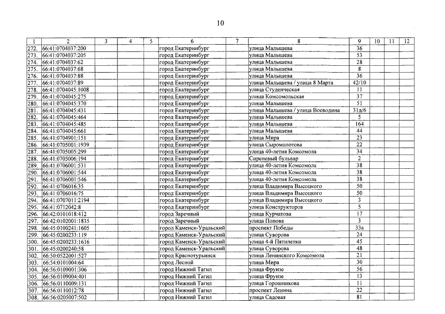
Постановление Правительства Свердловской области от 22.11.2018 № 820-ПП
"Об определении перечня объектов недвижимого имущества, в отношении которых налоговая база по налогу на имущество организаций определяется как кадастровая стоимость, на 2019 год"
Номер опубликования: 6600201811270010
Дата опубликования: 27.11.2018
Страница №10 из 11:
Увеличить