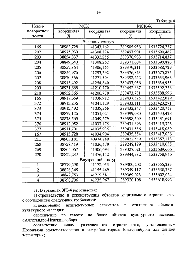
Постановление Правительства Свердловской области от 04.10.2018 № 673-ПП
"Об установлении объединенных зон охраны объектов культурного наследия федерального значения "Комплекс зданий Ново-Тихвинского монастыря", расположенного по адресу: г. Екатеринбург, ул. Декабристов, д. 87, "Александро-Невский собор", расположенного в районе Зеленой Рощи в г. Екатеринбурге, объектов культурного наследия регионального значения "Церковь Всех Святых", "Корпус главный", "Корпус жилой", "Корпус жилой", "Кельи западные", "Флигель", "Богадельня и больница", "Корпус рукодельный", "Завод свечной", "Конюшня", "Амбар хлебный (пекарня, церковно-приходская школа)", "Постройки хозяйственные", расположенных по адресу: г. Екатеринбург, ул. Декабристов, д. 87, и требований к градостроительным регламентам в границах данных зон"
"Об установлении объединенных зон охраны объектов культурного наследия федерального значения "Комплекс зданий Ново-Тихвинского монастыря", расположенного по адресу: г. Екатеринбург, ул. Декабристов, д. 87, "Александро-Невский собор", расположенного в районе Зеленой Рощи в г. Екатеринбурге, объектов культурного наследия регионального значения "Церковь Всех Святых", "Корпус главный", "Корпус жилой", "Корпус жилой", "Кельи западные", "Флигель", "Богадельня и больница", "Корпус рукодельный", "Завод свечной", "Конюшня", "Амбар хлебный (пекарня, церковно-приходская школа)", "Постройки хозяйственные", расположенных по адресу: г. Екатеринбург, ул. Декабристов, д. 87, и требований к градостроительным регламентам в границах данных зон"
Номер опубликования: 6600201810100018
Дата опубликования:
10.10.2018
