Официальное опубликование правовых актов
ОФИЦИАЛЬНОЕ ОПУБЛИКОВАНИЕ
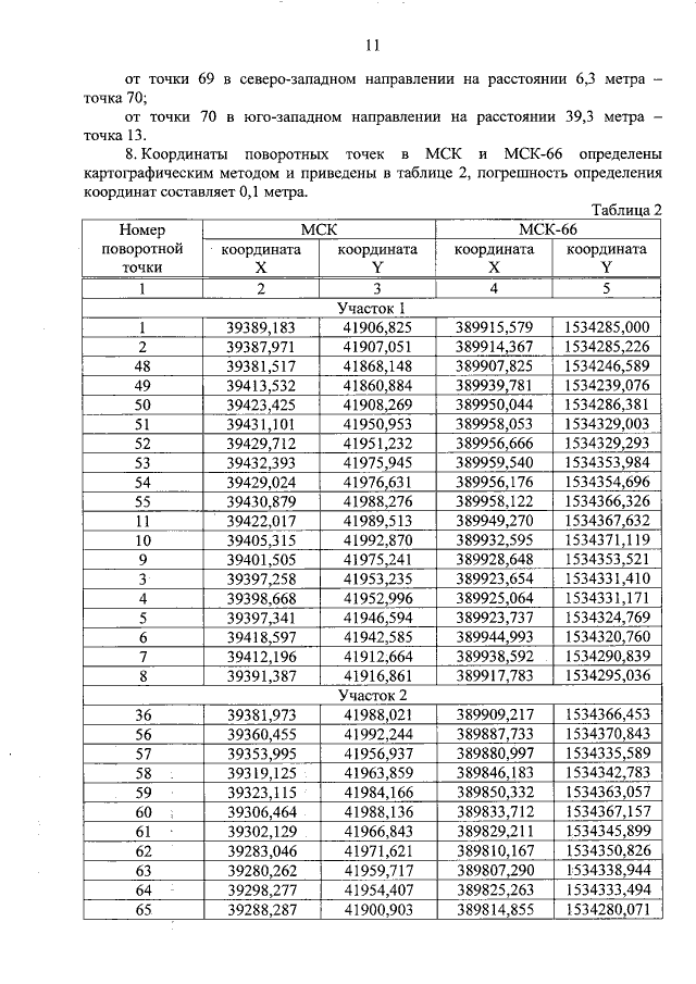
Постановление Правительства Свердловской области от 21.02.2018 № 85-ПП
"Об утверждении границ зон охраны объекта культурного наследия регионального значения "Дом Рязанова, XIX век", расположенного по адресу: г. Екатеринбург, ул. Куйбышева, д. 63, режимов использования земель и требований к градостроительным регламентам в границах данных зон"
Номер опубликования: 6600201803010011
Дата опубликования: 01.03.2018
Страница №11 из 14:
Увеличить