Официальное опубликование правовых актов
ОФИЦИАЛЬНОЕ ОПУБЛИКОВАНИЕ
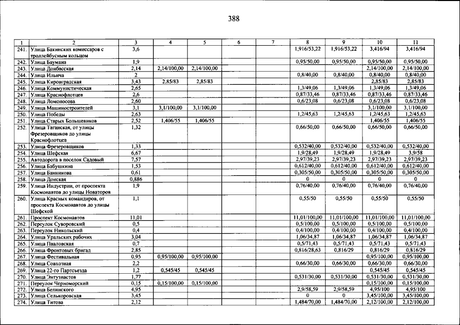
Постановление Правительства Свердловской области от 25.01.2018 № 28-ПП
"Об утверждении государственной программы Свердловской области "Развитие транспортного комплекса Свердловской области до 2024 года"
Номер опубликования: 6600201801310011
Дата опубликования: 31.01.2018
Страница №388 из 414:
Увеличить