Официальное опубликование правовых актов
ОФИЦИАЛЬНОЕ ОПУБЛИКОВАНИЕ
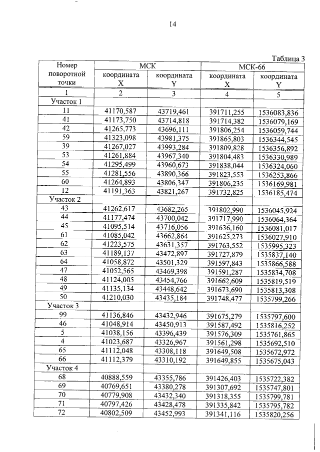
Постановление Правительства Свердловской области от 29.12.2017 № 1053-ПП
"Об утверждении границ зон охраны объекта культурного наследия регионального значения "Ансамбль градостроительный: техникум политехнический, дом жилой, дом жилой, дом жилой, дом жилой, здание административное, дом жилой", расположенного по адресам: г. Екатеринбург, пр. Ленина, 89; пр. Ленина, 91; пр. Ленина, 93; пр. Ленина, 95; пр. Ленина, 97; пр. Ленина, 97-а; пр. Ленина, 101, режимов использования земель и требований к градостроительным регламентам в границах данных зон"
Номер опубликования: 6600201712290044
Дата опубликования: 29.12.2017
Страница №14 из 25:
Увеличить