Официальное опубликование правовых актов
ОФИЦИАЛЬНОЕ ОПУБЛИКОВАНИЕ
Постановление Правительства Свердловской области от 29.12.2017 № 1040-ПП
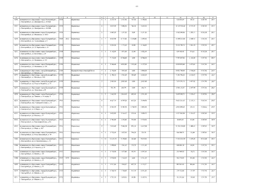
"О внесении изменений в постановление Правительства Свердловской области от 01.10.2014 № 832-ПП "Об утверждении Краткосрочного плана реализации Региональной программы капитального ремонта общего имущества в многоквартирных домах Свердловской области на 2015–2017 годы"
Номер опубликования: 6600201712290024
Дата опубликования: 29.12.2017
Страница №125 из 372:
Увеличить