Официальное опубликование правовых актов
ОФИЦИАЛЬНОЕ ОПУБЛИКОВАНИЕ
Постановление Правительства Свердловской области от 29.12.2017 № 1029-ПП
"О создании государственного автономного учреждения социального обслуживания Свердловской области "Комплексный центр социального обслуживания населения Шалинского района" путем изменения типа существующего Государственного бюджетного учреждения социального обслуживания населения Свердловской области "Комплексный центр социального обслуживания населения Шалинского района"
Номер опубликования: 6600201712290008
Дата опубликования: 29.12.2017
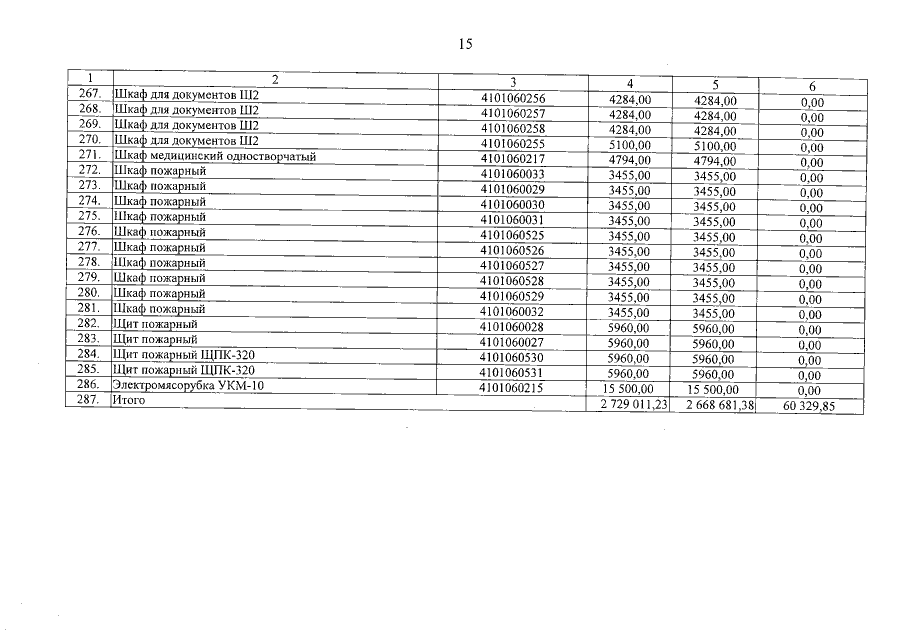
Страница №15 из 15:
Увеличить