Официальное опубликование правовых актов
ОФИЦИАЛЬНОЕ ОПУБЛИКОВАНИЕ
Постановление Правительства Свердловской области от 14.12.2017 № 952-ПП
"Об утверждении основной части проекта планировки территории для линейного объекта транспортной инфраструктуры регионального значения "Строительство транспортной развязки в разных уровнях на пересечении автомобильной дороги вокруг г. Екатеринбурга на участке автодорога Пермь – Екатеринбург – автодорога Подъезд к г. Екатеринбургу от автодороги "Урал", I пусковой комплекс автодорога Пермь – Екатеринбург – автодорога Подъезд к п. Медному и автомобильной дороги "Подъезд к оз. Чусовское от км 354+630 а/д "г. Пермь – г. Екатеринбург" на территории муниципального образования "город Екатеринбург" и проекта межевания территории для линейного объекта транспортной инфраструктуры регионального значения "Строительство транспортной развязки в разных уровнях на пересечении автомобильной дороги вокруг г. Екатеринбурга на участке автодорога Пермь – Екатеринбург – автодорога Подъезд к г. Екатеринбургу от автодороги "Урал", I пусковой комплекс автодорога Пермь – Екатеринбург – автодорога Подъезд к п. Медному и автомобильной дороги "Подъезд к оз. Чусовское от км 354+630 а/д "г. Пермь – г. Екатеринбург" на территории муниципального образования "город Екатеринбург"
Номер опубликования: 6600201712210033
Дата опубликования: 21.12.2017
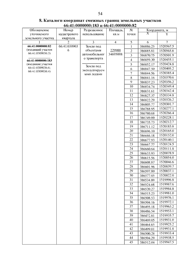
Страница №54 из 59:
Увеличить