Официальное опубликование правовых актов
ОФИЦИАЛЬНОЕ ОПУБЛИКОВАНИЕ
Постановление Правительства Свердловской области от 07.11.2017 № 829-ПП
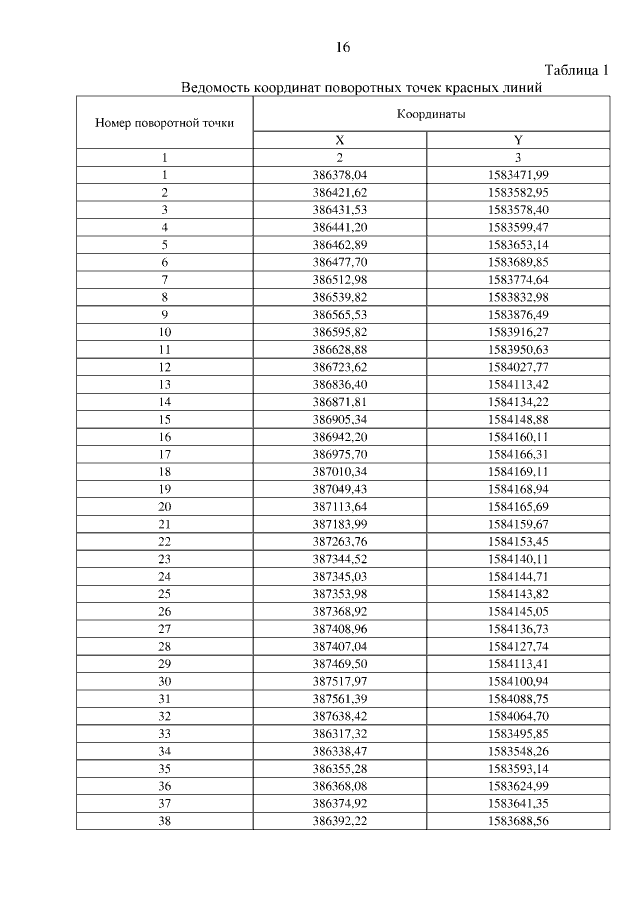
"Об утверждении основной части проекта планировки территории для размещения линейного объекта транспортной инфраструктуры регионального значения в части: "Строительство автомобильной дороги Екатеринбург – Тюмень на участке км 42 – км 63, II очередь строительства, V пусковой комплекс, транспортная развязка в разных уровнях на км 52 в Свердловской области", "Строительство автомобильной дороги Екатеринбург – Тюмень на участке км 42 – км 63, I очередь строительства, III пусковой комплекс, км 52 – км 63 в Свердловской области" и проекта межевания территории для размещения линейного объекта транспортной инфраструктуры регионального значения в части: "Строительство автомобильной дороги Екатеринбург – Тюмень на участке км 42 – км 63, II очередь строительства, V пусковой комплекс, транспортная развязка в разных уровнях на км 52 в Свердловской области", "Строительство автомобильной дороги Екатеринбург – Тюмень на участке км 42 – км 63, I очередь строительства, III пусковой комплекс, км 52 – км 63 в Свердловской области"
Номер опубликования: 6600201711140017
Дата опубликования: 14.11.2017
Страница №16 из 107:
Увеличить