Официальное опубликование правовых актов
ОФИЦИАЛЬНОЕ ОПУБЛИКОВАНИЕ
Постановление Правительства Свердловской области от 07.11.2017 № 827-ПП
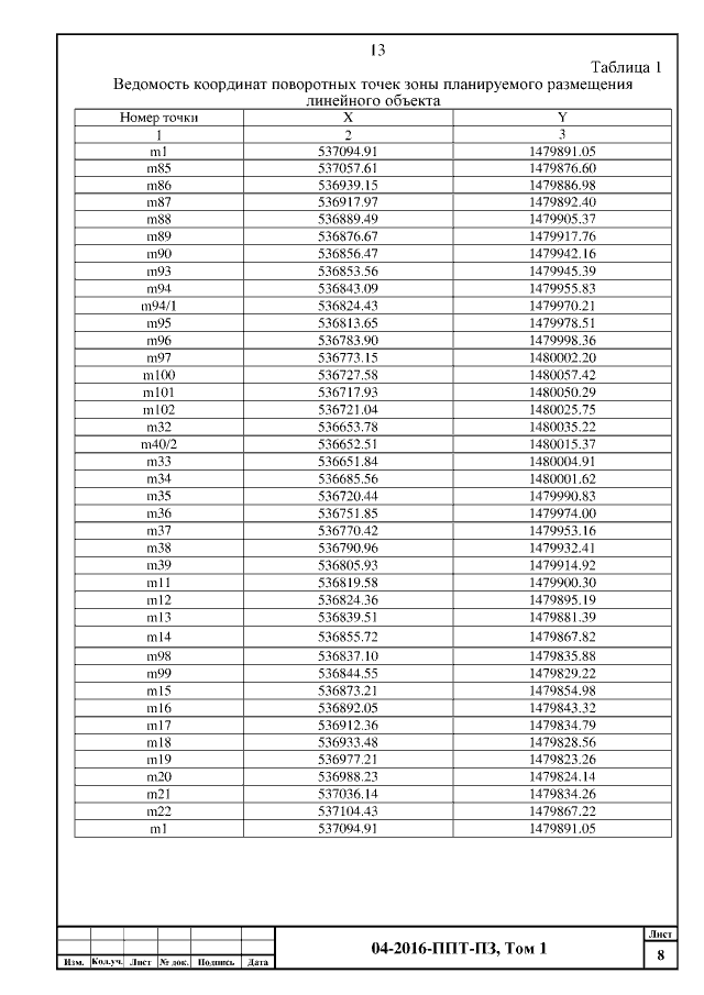
"Об утверждении основной части проекта планировки территории для размещения линейного объекта транспортной инфраструктуры регионального значения "Реконструкция мостового перехода через р. Баранчу на км 21 + 210 а/д "г. Кушва – д/о "Баранчинский" на территории Кушвинского городского округа" и основной части проекта межевания территории для размещения линейного объекта транспортной инфраструктуры регионального значения "Реконструкция мостового перехода через р. Баранчу на км 21 + 210 а/д "г. Кушва – д/о "Баранчинский" на территории Кушвинского городского округа"
Номер опубликования: 6600201711130002
Дата опубликования: 13.11.2017
Страница №13 из 52:
Увеличить