Официальное опубликование правовых актов
ОФИЦИАЛЬНОЕ ОПУБЛИКОВАНИЕ
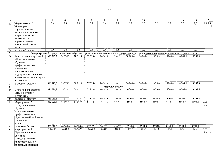
Постановление Правительства Свердловской области от 12.10.2017 № 765-ПП
"О внесении изменений в государственную программу Свердловской области "Содействие занятости населения Свердловской области до 2024 года", утвержденную постановлением Правительства Свердловской области от 21.10.2013 № 1272-ПП"
Номер опубликования: 6600201710180001
Дата опубликования: 18.10.2017
Страница №20 из 43:
Увеличить