Официальное опубликование правовых актов
ОФИЦИАЛЬНОЕ ОПУБЛИКОВАНИЕ
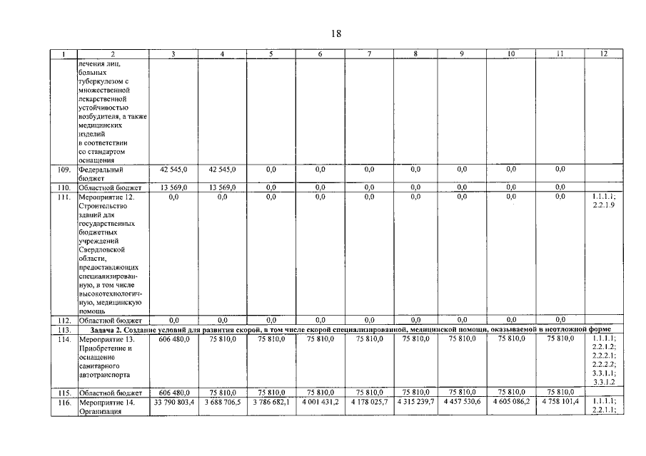
Постановление Правительства Свердловской области от 14.09.2017 № 670-ПП
"О внесении изменений в государственную программу Свердловской области "Развитие здравоохранения Свердловской области до 2024 года", утвержденную постановлением Правительства Свердловской области от 21.10.2013 № 1267-ПП"
Номер опубликования: 6600201709210026
Дата опубликования: 21.09.2017
Страница №18 из 45:
Увеличить