Официальное опубликование правовых актов
ОФИЦИАЛЬНОЕ ОПУБЛИКОВАНИЕ
Постановление Правительства Свердловской области от 31.08.2017 № 648-ПП
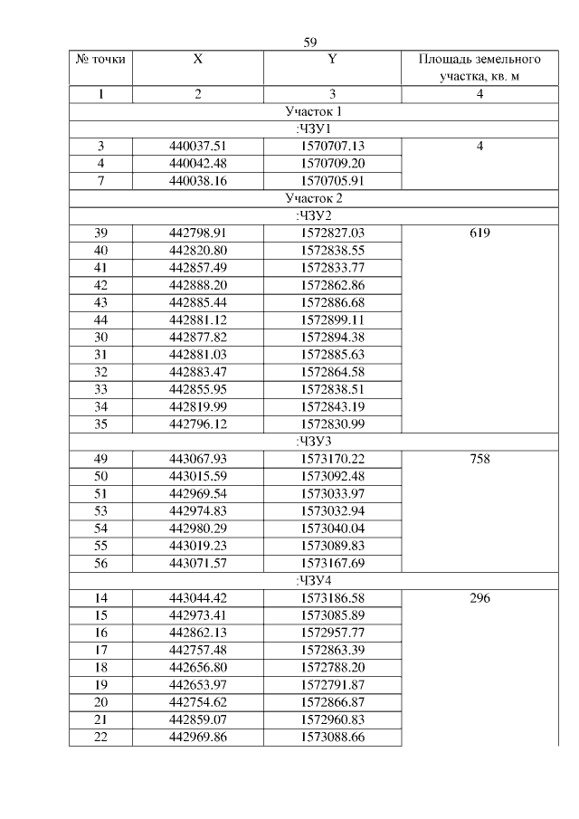
"Об утверждении основной части проекта планировки территории для размещения линейного объекта транспортной инфраструктуры регионального значения "Реконструкция автомобильной дороги г. Екатеринбург – г. Реж – г. Алапаевск (строительство переходно-скоростных полос на км 65+500, км 69+000, км 73+800, км 82+660, км 100+100) на территории Режевского городского округа" и проекта межевания территории для размещения линейного объекта транспортной инфраструктуры регионального значения "Реконструкция автомобильной дороги г. Екатеринбург – г. Реж – г. Алапаевск (строительство переходно-скоростных полос на км 65+500, км 69+000, км 73+800, км 82+660, км 100+100) на территории Режевского городского округа"
Номер опубликования: 6600201709060004
Дата опубликования: 06.09.2017
Страница №59 из 68:
Увеличить