Официальное опубликование правовых актов
ОФИЦИАЛЬНОЕ ОПУБЛИКОВАНИЕ
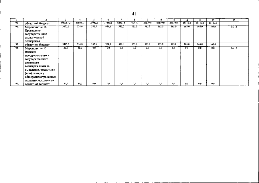
Постановление Правительства Свердловской области от 24.08.2017 № 614-ПП
"О внесении изменений в постановление Правительства Свердловской области от 21.10.2013 № 1269-ПП "Об утверждении государственной программы Свердловской области "Обеспечение рационального и безопасного природопользования на территории Свердловской области до 2020 года"
Номер опубликования: 6600201708290007
Дата опубликования: 29.08.2017
Страница №41 из 71:
Увеличить