Официальное опубликование правовых актов
ОФИЦИАЛЬНОЕ ОПУБЛИКОВАНИЕ
Постановление Правительства Свердловской области от 03.08.2017 № 566-ПП
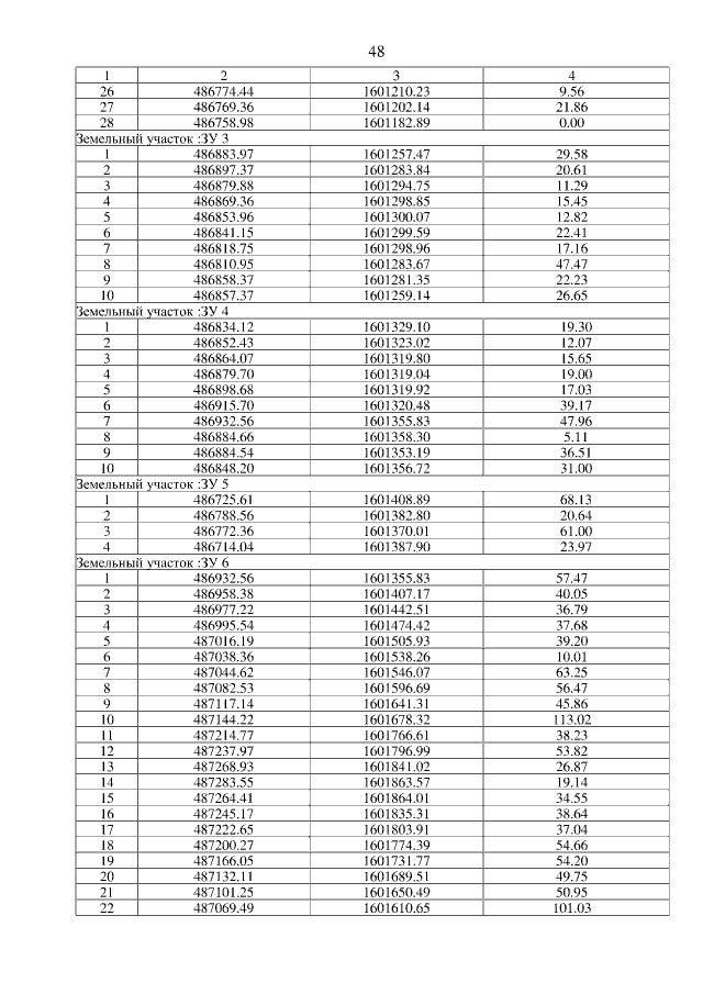
"Об утверждении основной части проекта планировки территории для размещения линейного объекта транспортной инфраструктуры регионального значения "Строительство путепровода через железную дорогу на км 127 автомобильной дороги г. Екатеринбург – г. Реж – г. Алапаевск на территории Муниципального образования Алапаевское" и проекта межевания территории для размещения линейного объекта транспортной инфраструктуры регионального значения "Строительство путепровода через железную дорогу на км 127 автомобильной дороги г. Екатеринбург – г. Реж – г. Алапаевск на территории Муниципального образования Алапаевское"
Номер опубликования: 6600201708090002
Дата опубликования: 09.08.2017
Страница №48 из 58:
Увеличить