Официальное опубликование правовых актов
ОФИЦИАЛЬНОЕ ОПУБЛИКОВАНИЕ
Постановление Правительства Свердловской области от 28.07.2017 № 557-ПП
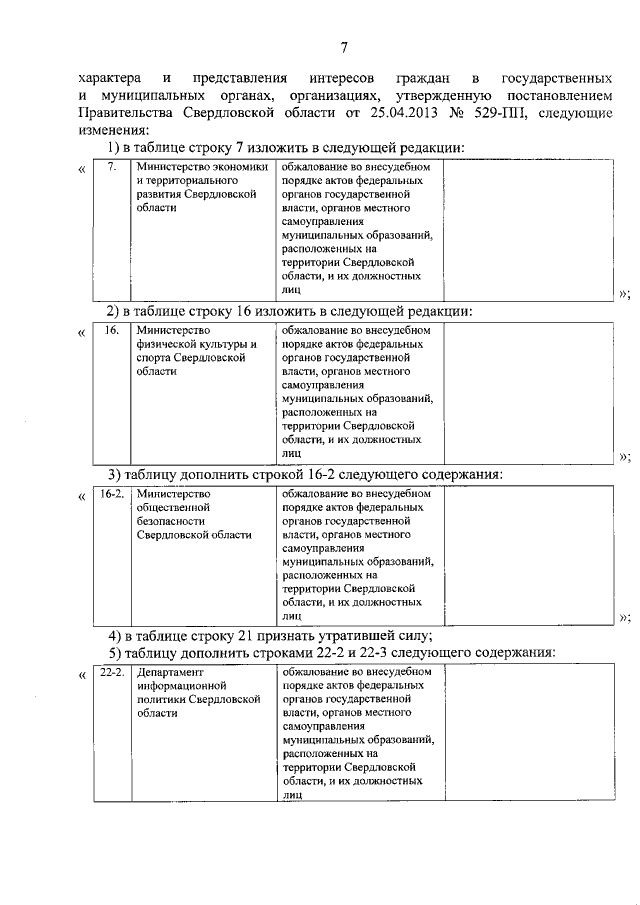
"О внесении изменений в постановление Правительства Свердловской области от 25.04.2013 № 529-ПП "Об определении Перечня областных и территориальных исполнительных органов государственной власти Свердловской области и подведомственных им учреждений, входящих в государственную систему бесплатной юридической помощи на территории Свердловской области, и Порядка взаимодействия участников государственной системы бесплатной юридической помощи на территории Свердловской области"
Номер опубликования: 6600201708030011
Дата опубликования: 03.08.2017
Страница №7 из 9:
Увеличить