Официальное опубликование правовых актов
ОФИЦИАЛЬНОЕ ОПУБЛИКОВАНИЕ
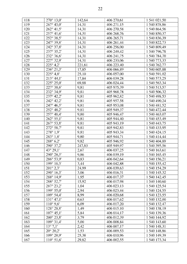
Постановление Правительства Свердловской области от 28.07.2017 № 553-ПП
"Об утверждении основной части проекта планировки территории для размещения линейного объекта "ЭЦ. Газопровод-отвод и ГРС АО "Уралэлектромедь" в районе п. Садовый", в том числе сопутствующие объекты – вдольтрассовый проезд, автомобильная дорога и воздушная линия электропередач на территории городского округа Верхняя Пышма и муниципального образования "город Екатеринбург" Свердловской области" и проекта межевания территории для размещения линейного объекта "ЭЦ. Газопровод-отвод и ГРС АО "Уралэлектромедь" в районе п. Садовый", в том числе сопутствующие объекты – вдольтрассовый проезд, автомобильная дорога и воздушная линия электропередач на территории городского округа Верхняя Пышма и муниципального образования "город Екатеринбург" Свердловской области"
Номер опубликования: 6600201708030004
Дата опубликования: 03.08.2017
Страница №22 из 92:
Увеличить