Официальное опубликование правовых актов
ОФИЦИАЛЬНОЕ ОПУБЛИКОВАНИЕ
Постановление Правительства Свердловской области от 05.07.2017 № 496-ПП
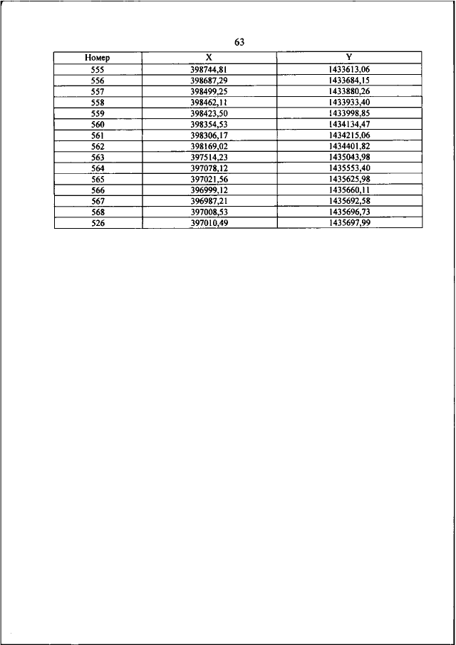
"Об утверждении основной части проекта планировки территории для размещения линейного объекта транспортной инфраструктуры регионального значения "Строительство автомобильной дороги "р. п. Бисерть – с. Старобухарово на участке км 5+855 – км 10+855" на территории Бисертского городского округа и Нижнесергинского муниципального района" и проекта межевания территории для размещения линейного объекта транспортной инфраструктуры регионального значения "Строительство автомобильной дороги "р. п. Бисерть – с. Старобухарово на участке км 5+855 – км 10+855" на территории Бисертского городского округа и Нижнесергинского муниципального района"
Номер опубликования: 6600201707120029
Дата опубликования: 12.07.2017
Страница №63 из 73:
Увеличить