Официальное опубликование правовых актов
ОФИЦИАЛЬНОЕ ОПУБЛИКОВАНИЕ
Постановление Правительства Свердловской области от 05.07.2017 № 505-ПП
"Об утверждении границ зон охраны объекта культурного наследия регионального значения "Комплекс жилых домов: дом жилой, дом жилой, гараж, гараж, ворота, элементы благоустройства", расположенного по адресу: г. Екатеринбург, Верх-Исетский бульвар, д. 18, 20, режимов использования земель и требований к градостроительным регламентам в границах данных зон"
Номер опубликования: 6600201707120019
Дата опубликования: 12.07.2017
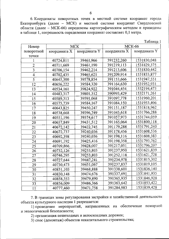
Страница №6 из 22:
Увеличить