Официальное опубликование правовых актов
ОФИЦИАЛЬНОЕ ОПУБЛИКОВАНИЕ
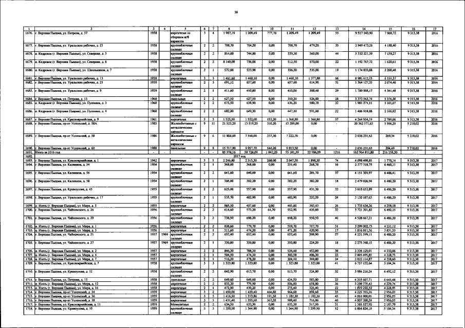
Постановление Правительства Свердловской области от 16.02.2017 № 98-ПП
"О внесении изменений в постановление Правительства Свердловской области от 01.10.2014 № 832-ПП "Об утверждении Краткосрочного плана реализации Региональной программы капитального ремонта общего имущества в многоквартирных домах Свердловской области на 2015–2017 годы"
Номер опубликования: 6600201702220033
Дата опубликования: 22.02.2017
Страница №38 из 210:
Увеличить