Официальное опубликование правовых актов
ОФИЦИАЛЬНОЕ ОПУБЛИКОВАНИЕ
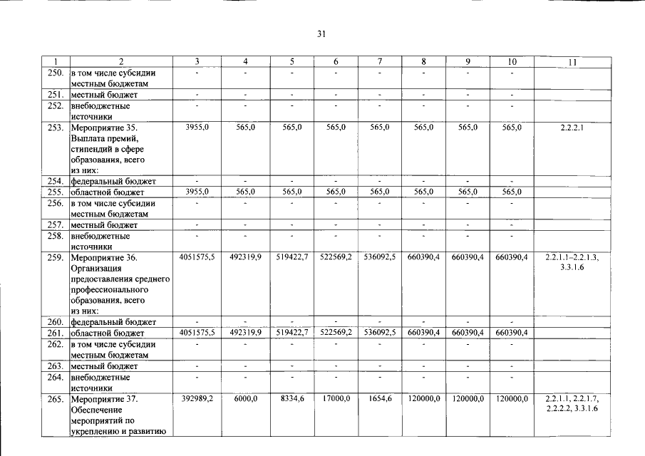
Постановление Правительства Свердловской области от 16.08.2016 № 575-ПП
"О внесении изменений в государственную программу Свердловской области "Развитие культуры в Свердловской области до 2020 года", утвержденную постановлением Правительства Свердловской области от 21.10.2013 № 1268-ПП"
Номер опубликования: 6600201608250001
Дата опубликования: 25.08.2016
Страница №31 из 63:
Увеличить