Официальное опубликование правовых актов
ОФИЦИАЛЬНОЕ ОПУБЛИКОВАНИЕ
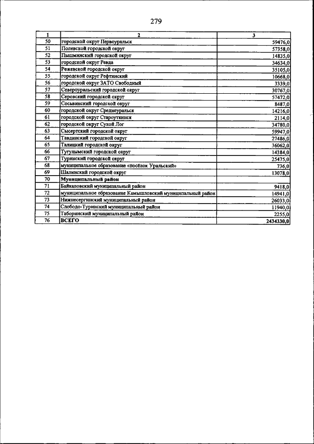
Закон Свердловской области от 03.12.2015 № 138-ОЗ
"Об областном бюджете на 2016 год"
Номер опубликования: 6600201512080004
Дата опубликования: 08.12.2015
Страница №279 из 318:
Увеличить