Официальное опубликование правовых актов
ОФИЦИАЛЬНОЕ ОПУБЛИКОВАНИЕ
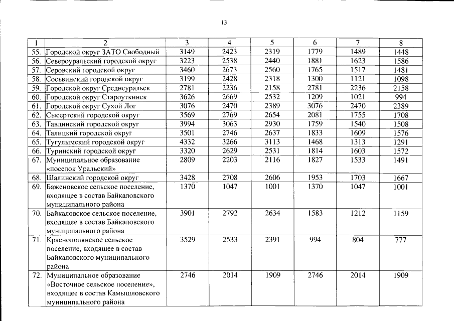
Постановление Правительства Свердловской области от 27.10.2015 № 983-ПП
"Об областном стандарте стоимости жилищно-коммунальных услуг на 2015 год"
Номер опубликования: 6600201511050005
Дата опубликования: 05.11.2015
Страница №13 из 23:
Увеличить