Официальное опубликование правовых актов
ОФИЦИАЛЬНОЕ ОПУБЛИКОВАНИЕ
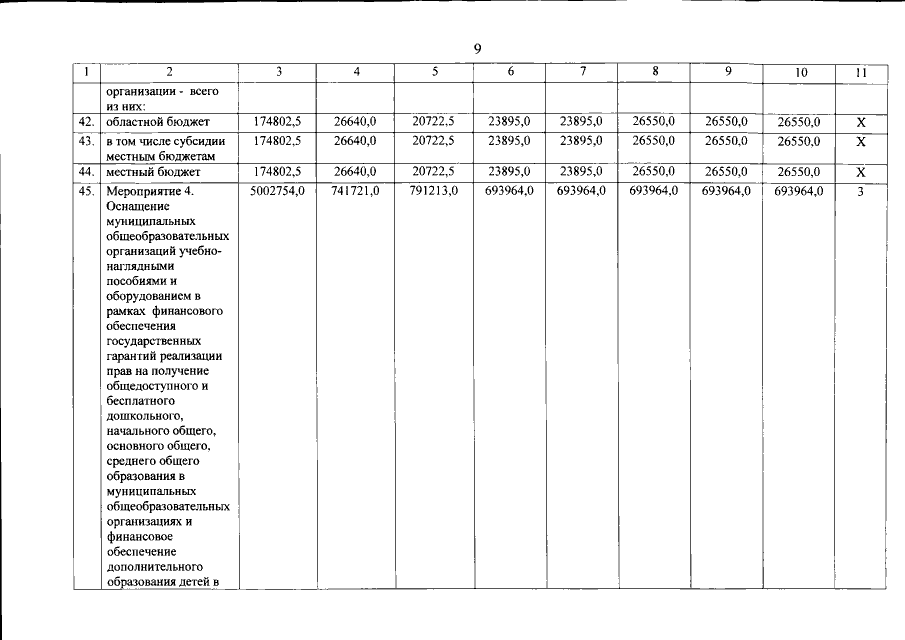
Постановление Правительства Свердловской области от 29.07.2015 № 672-ПП
"О внесении изменений в комплексную программу Свердловской области "О реализации приоритетного национального проекта "Образование" в Свердловской области на 2014–2020 годы", утвержденную постановлением Правительства Свердловской области от 25.06.2014 № 525-ПП"
Номер опубликования: 6600201508060003
Дата опубликования: 06.08.2015
Страница №9 из 18:
Увеличить