Официальное опубликование правовых актов
ОФИЦИАЛЬНОЕ ОПУБЛИКОВАНИЕ
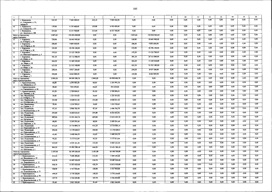
Постановление Правительства Свердловской области от 18.03.2015 № 184-ПП
"О внесении изменений в региональную адресную программу "Переселение граждан на территории Свердловской области из аварийного жилищного фонда в 2013−2017 годах", утвержденную постановлением Правительства Свердловской области от 10.06.2013 № 727-ПП"
Номер опубликования: 6600201503200006
Дата опубликования: 20.03.2015
Страница №105 из 140:
Увеличить