Официальное опубликование правовых актов
ОФИЦИАЛЬНОЕ ОПУБЛИКОВАНИЕ
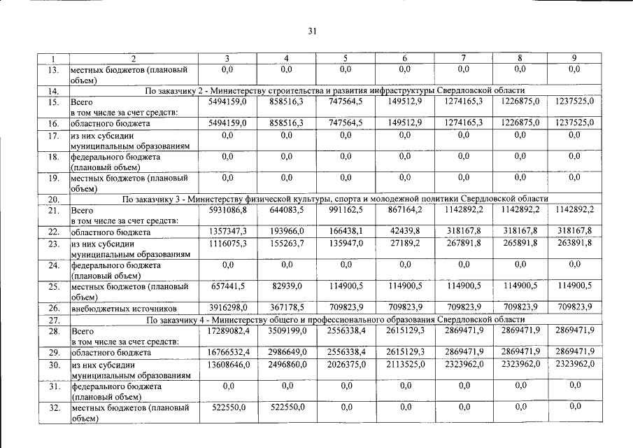
Постановление Правительства Свердловской области от 24.02.2015 № 124-ПП
"Об утверждении комплексной программы Свердловской области "Поддержка семей с детьми в Свердловской области" на 2015–2020 годы"
Номер опубликования: 6600201502270001
Дата опубликования: 27.02.2015
Страница №31 из 34:
Увеличить