Официальное опубликование правовых актов
ОФИЦИАЛЬНОЕ ОПУБЛИКОВАНИЕ
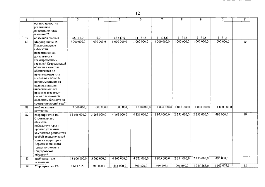
Постановление Правительства Свердловской области от 08.12.2014 № 1122-ПП
"О внесении изменений в государственную программу Свердловской области "Совершенствование социально-экономической политики на территории Свердловской области до 2020 года", утвержденную постановлением Правительства Свердловской области от 29.10.2013 № 1333-ПП"
Номер опубликования: 6600201412160009
Дата опубликования: 16.12.2014
Страница №12 из 34:
Увеличить