Официальное опубликование правовых актов
ОФИЦИАЛЬНОЕ ОПУБЛИКОВАНИЕ
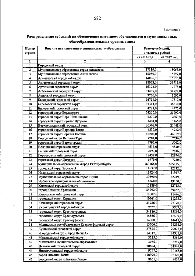
Закон Свердловской области от 03.12.2014 № 111-ОЗ
"Об областном бюджете на 2015 год и плановый период 2016 и 2017 годов"
Номер опубликования: 6600201412050001
Дата опубликования: 05.12.2014
Страница №582 из 630:
Увеличить