Официальное опубликование правовых актов
ОФИЦИАЛЬНОЕ ОПУБЛИКОВАНИЕ
Постановление Правительства Свердловской области от 20.10.2014 № 876-ПП
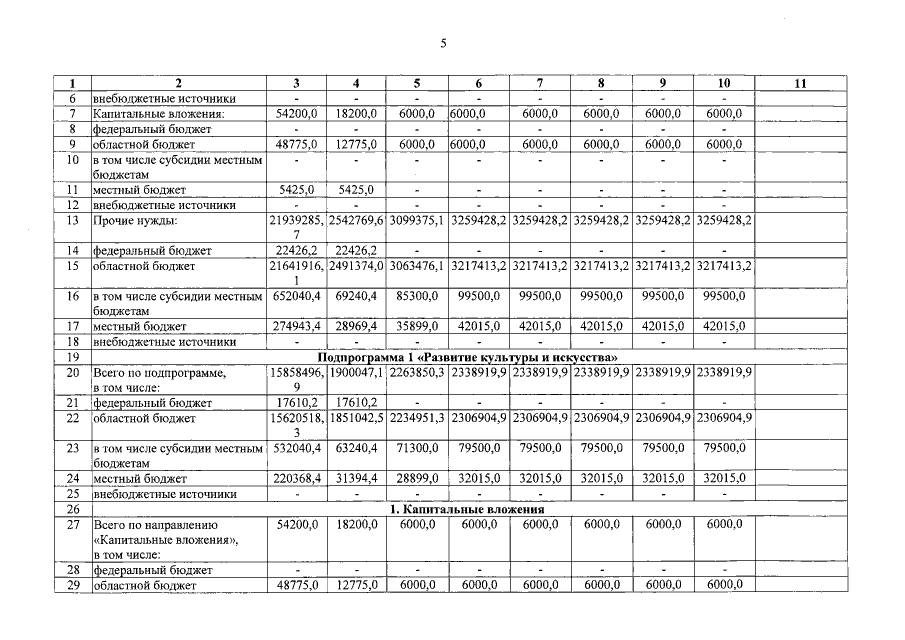
"О внесении изменений в государственную программу Свердловской области "Развитие культуры в Свердловской области до 2020 года", утвержденную постановлением Правительства Свердловской области от 21.10.2013 № 1268-ПП"
Номер опубликования: 6600201410240025
Дата опубликования: 24.10.2014
Страница №5 из 22:
Увеличить