Официальное опубликование правовых актов
ОФИЦИАЛЬНОЕ ОПУБЛИКОВАНИЕ
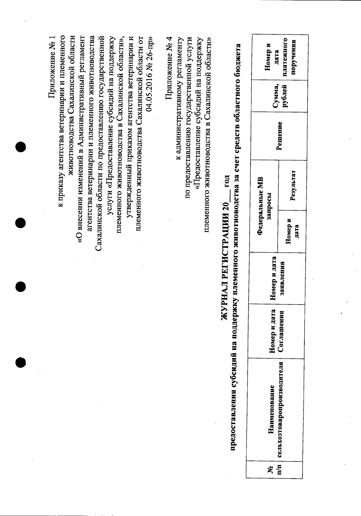
Приказ Агентства ветеринарии и племенного животноводства Сахалинской области от 26.01.2024 № 1-3.32-34/24
"О внесении изменений в Административный регламент агентства ветеринарии и племенного животноводства Сахалинской области по предоставлению государственной услуги "Предоставление субсидий на поддержку племенного животноводства в Сахалинской области", утвержденный приказом агентства ветеринарии и племенного животноводства Сахалинской области от 04.05.2016 № 26-пр"
(Зарегистрирован 26.01.2024 № 1-3.32-34/24)
Номер опубликования: 6501202403060001
Дата опубликования: 06.03.2024
Страница №20 из 21:
Увеличить