Официальное опубликование правовых актов
ОФИЦИАЛЬНОЕ ОПУБЛИКОВАНИЕ
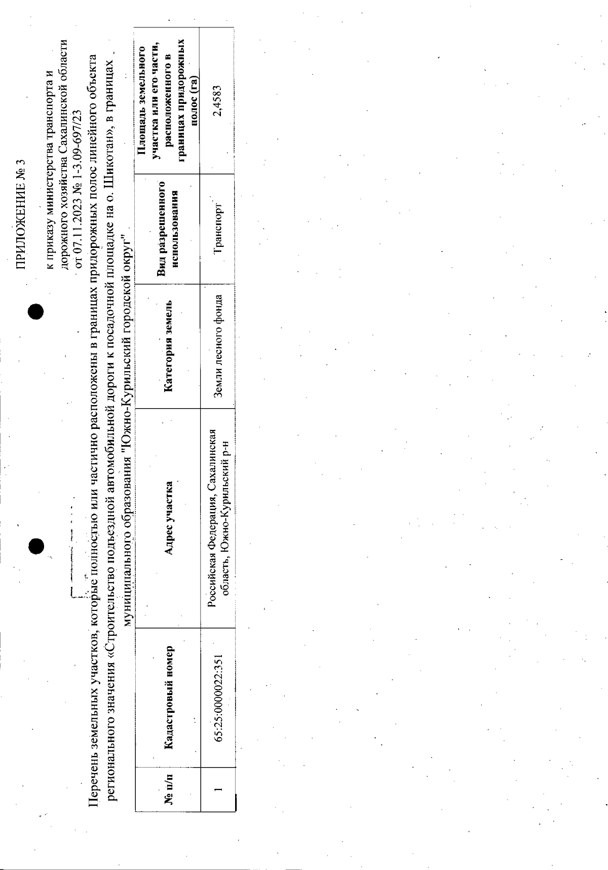
Приказ Министерства транспорта и дорожного хозяйства Сахалинской области от 07.11.2023 № 1-3.09-697/23
"Об установлении придорожных полос линейного объекта регионального значения "Строительство подъездной автомобильной дороги к посадочной площадке на о. Шикотан"
(Зарегистрирован 07.11.2023 № 1-3.09-697/23)
Номер опубликования: 6501202311100003
Дата опубликования: 10.11.2023
Страница №72 из 72:
Увеличить