Приказ Управления делами Губернатора и Правительства Сахалинской области от 03.10.2023 № 1-3.14-610/23
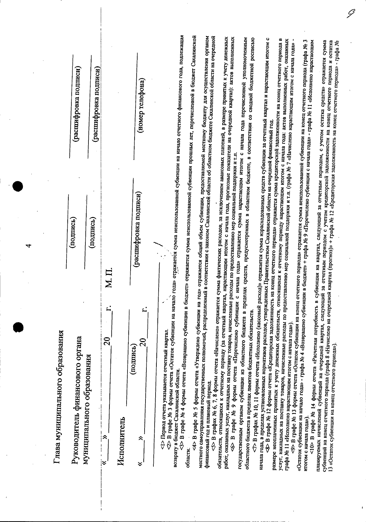
"Об утверждении Порядка составления и представления органами местного самоуправления муниципальных образований Сахалинской области отчета об использовании субвенции, предоставленной на осуществление государственных полномочий Сахалинской области по созданию и организации деятельности комиссий по делам несовершеннолетних и защите их прав"
(Зарегистрирован 03.10.2023 № 1-3.14-610/23)
"Об утверждении Порядка составления и представления органами местного самоуправления муниципальных образований Сахалинской области отчета об использовании субвенции, предоставленной на осуществление государственных полномочий Сахалинской области по созданию и организации деятельности комиссий по делам несовершеннолетних и защите их прав"
(Зарегистрирован 03.10.2023 № 1-3.14-610/23)
Номер опубликования: 6501202310090004
Дата опубликования:
09.10.2023
